注册商标流程很简单吗

注册商标流程很简单吗

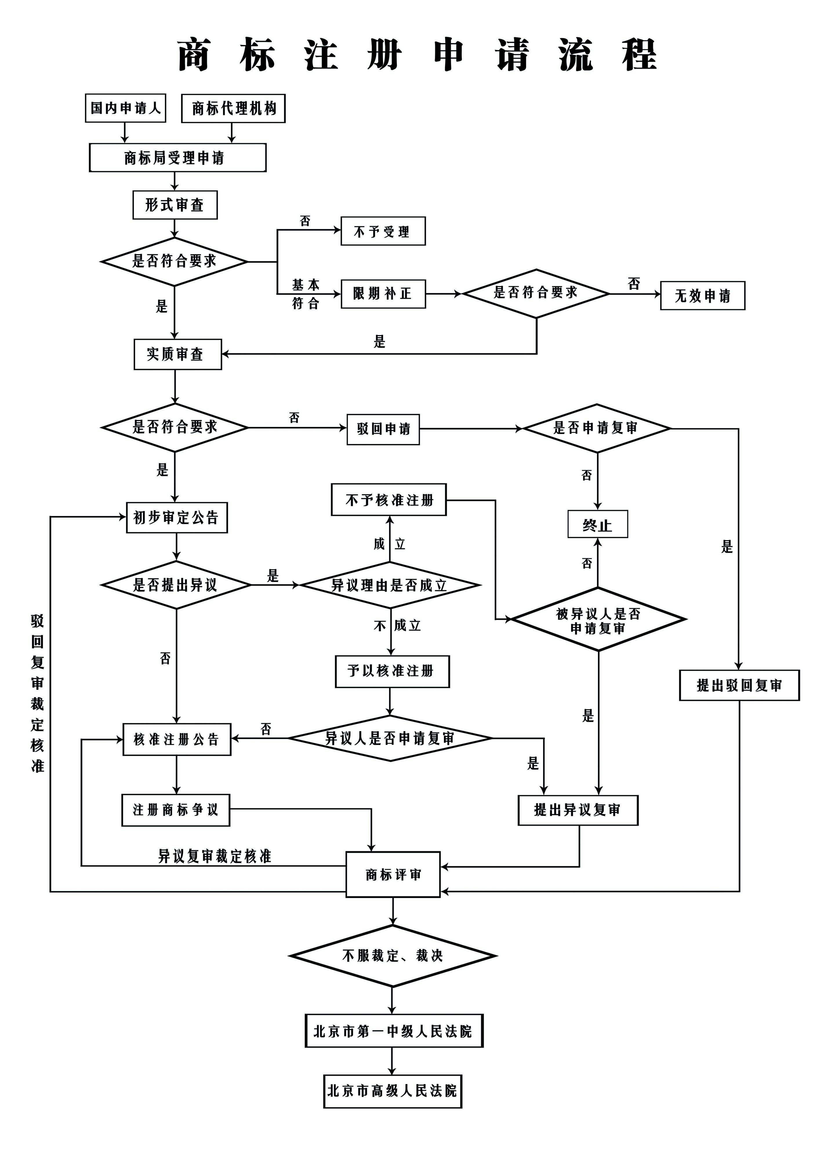
 商标是企业拓展、占领经济市场的必备要素,企业能否顺利发展商业活动商标起到非常关键的作用。因为商标没有注册的话企业使用是不受保护的,如果他人注册了,那么企业继续使用就是侵犯他人的权益了,而且只能另行设计注册,这对企业来说损失是非常大的。有些企业错误地认为注册商标非常简单,只要递交注册申请,然后就等着拿商标注册证书就可以了,所以不着急注册,等企业稳定下来再说。实际上只是你以为,注册商标的过程并没有那么简单。

你认为注册商标的流程应该是以下这样子的:
 
但实际上注册商标的流程是这样子的:
 
实际上注册商标需要经过很多步骤,注册时间几个月到两三年不等,如果注册过程中产生异议或者资料不足等则注册的时间会更久。注册商标真的没有你想象的:申请→缴费→领证书那么简单。因此商标一定要先注册,才能保障企业的无形资产不受侵害。下面以注册香港商标为例子说说如何注册香港商标。
 

香港商标注册申请条件

香港商标注册申请条件

 不少大陆投资者都将香港作为企业走出海外的重要跳板,在香港注册公司,但是香港和大陆的法律体系有所不同,因此在大陆注册的商标在香港是不受保护的,因此要让商标能够在香港合法使用就要注册香港商标。今天瑞丰德永就简单来和大家说说如何注册香港商标,香港商标该何时续展,有哪些事项需要注意的。

香港法律对商标申请人主体资格没有特殊要求,自然人或法人团体均可申请商标注册,法律也没有规定商标申请人必须已对申请商标进行使用,申请人只要在申请注册时指出使用或拟使用即可。
申请人必须填妥相关的申请表格,连同商标样本及有关费用,一并提交商标注册处。香港也采用一标一类的申请授权制度,分类亦采用国际分类的42个大类。
可予注册的商标可以是图案、姓名、签署、文字、字体、数字、不同形状或颜色构成的标志,或以上项目的各种组合以及主体图形、地理名称。服务商标在香港也受保护,且零售服务的商标可以在香港申请。
在香港申请商标注册有一个特殊要求是,商标注册处有权规定申请人须在申请日起12个月内完成所有申请手续。若申请人未能遵守该规定,可以被视为放弃申请。

香港商标注册所需资料

香港商标注册所需资料

 1.个人申请需提供身份证复印件,公司申请需提供营业执照复印件;

2.商标的图案、名称;
3.说明申请的商标所属的商品/服务类别文件;
4.香港商标注册申请表;
5.如果委托代理机构需要提供商标注册委托书。

香港商标注册流程

香港商标注册流程

 1.提交申请:香港商标注册处收到注册商标的申请后,会以信件形式发出收据及通知书。

2.审查文件:香港商标注册处在审查商标申请前,会先检查提供的资料是否齐全。如果提交的资料有遗漏,商标注册处会要求申请人,在通知发出的两个月内补全资料。而资料没有遗漏的话,就进入审查阶段。
3.审查:香港商标注册处会查阅已有的商标记录,确定该商标没有已经注册的相同(类似)的商标。商标注册处会同时确定商标是否符合《商标条例》所列规定。而不论审查通过与否,审查主任都会发出书面意见。如果反对商标注册,则会说明对该商标注册的反对理由;如果同意商标注册,则会确定接受该商标的注册申请。
4.公示申请:香港商标注册处接纳商标申请后,就会在香港知识产权公报上公示,以征求社会意见。
5.完成注册:香港商标注册处处长同意商标注册申请后,该商标的详细资料就会记入注册商标纪录册,并向商标申请人发出注册证明书。至此,香港商标注册完毕。

注册香港商标的好处

注册香港商标的好处

 1.便于消费者认牌购物。

2.商标注册人拥有商标专用权, 受法律保护。
3.通过商标注册,可以创立品牌,抢先占领市场。
4.商标是一种无形资产,可对其价值进行评估。
5.商标可以通过转让,许可给他人使用,或质押来转换实现其价值。
6.商标还是办理质检、卫检、条码等的必备条件。

香港商标维护注意事项

香港商标维护注意事项

 1.打电话假装政府机构唬人

骗子代理机构的招术是打着政府机构的旗号,哄骗企业老板。先从网络等渠道来收集或购买公司老板的电话号码,通过电话找到老板冒充市政府所属的商标普查中心或者冒充国家商标注册局监控中心人员,说不注册商标政府就会对企业如何处罚,一定要记住是假的骗钱的。
2.谎称续展
未到续展时欺骗企业拿钱续展商标的有效期为10年,还没有到期时便去告诉企业要到期了需要马上续展,否则晚了会被罚款多少多少。
3.凭空消失
收钱后不报商标局然后人间蒸发,因为续展大概需要2个月时间,代理机构利用续展时间,将企业的钱收够后不上报商标局,再过一段时间事务所整个人间蒸发。
4.商标续展的重要性
商标续展完成后有效期就会又增加十年,但如果放弃商标续展,就意味着放弃了商标。重新申请商标的话,有可能面对驳回、被异议等,这样整个流程消耗的时间将会更长,也会给企业带来损失。
需要注意的是香港商标的有效期开始计算日期和大陆的有所不同,大陆的有效日期是从商标注册日开始计算,而香港商标的有效期则是从申请日开始计算的,香港商标需在到期前6个月递交续展申请,有6个月的宽展期。期满还没办理续展手续的商标将会被注销。
 

编辑推荐:
在国外注册子公司和办事处的主要区别是什么?
新加坡公司注册攻略:新加坡公司注册成功后再租赁办公室
如何选择土耳其公司的类型,注册土耳其公司需要的条件及资料

推荐

我们的优势

170+ 市场

业务覆盖170多个国家和地区。

10,000+ 职员

包括资深的专业领导层和拥有各相关专业资格的人员。

20万+ 客户

包括财富杂志全球500强至初创公司等不同规模的企业。

4950亿美元

资产行政管理规模达4950亿美元。

1,400+ 港股上市

为1400家港股上市公司提供投资者和首次招股等服务。

>50% 全球500强企业

为《财富》杂志全球500强中50%的企业提供服务。

专业人员

Kim Jenkins
首席执行官
Andrew Cherry
首席财务官
Melanie Fitzpatrick
首席目标与人事官
Tim Leung
首席技术官
John McLean
总法律顾问与首席法务官
Jonathon Clifton
集团常务董事-企业解决方案
Chris Collins
首席企业发展官
张海亮
大中华区主管,董事总经理
王晓波
大中华区运营负责人
蒋梦南
Vistra卓佳执行董事,RICHFUL瑞丰总经理

典型客户案例

tricor卓佳 | 瑞丰德永服务客户

公司:红牛
行业:饮食业
公司:奥迪

行业:汽车、引擎和动力设备、自动驾驶

公司:复星
行业:工业和建造业
公司:KEEN, Inc.
行业:服装与时装
公司:本田

行业:汽车、飞机、引擎和动力设备

公司:三菱重工

行业:工业设备, 工业和建造业, 可再生能源与环境, 机械, 运输

公司:天津轨道交通集团
行业:运输
公司:万华化学集团
行业:化工新材料
公司:诺贝尔集团
行业:建筑材料
公司:恒生电子

行业:金融软件、网络服务供应商

公司:海康威视

行业:安防产品、视频处理技术、视频分析技术

公司:中国城建
行业:建筑工程

客户反馈